基本信息:
中文名称 3-甲酰基愈创葵
中文别名 3-甲酰基愈创蓝油烃;
英文名称 3,8-dimethyl-5-propan-2-ylazulene-1-carbaldehyde
英文别名 1-formylguaiazulene;Guiazulene-1-carboxaldehyde;5-isopropyl-3,8-dimethylazulene-1-carbaldehyde;quiazulene-1-carboxaldehyde;3-formylguaiazulene;3-guaiazulenecarbaldehyde;guaiazulene-1-carboxaldehyde;guaiazulene-3-carbaldehyde;7-Isopropyl-1,4-dimethylazulene-3-carboxaldehyde;
CAS号 3331-47-3
合成路线:
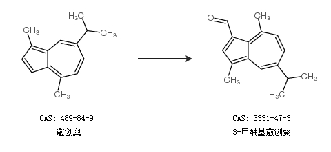
1.通过愈创奥合成3-甲酰基愈创葵

2.通过愈创奥合成3-甲酰基愈创葵

更多路线和参考文献可参考