基本信息:
中文名称 3-甲基-3-壬醇
英文名称 3-methylnonan-3-ol
英文别名 3-Nonanol,3-methyl;3-methyl-3-nonanol;3-Methyl-3-nonanol;Methyl-aethyl-hexyl-carbinol;2-Ethyl-octan-2-ol;3-methyl-nonan-3-ol;methyl-ethyl-hexyl-carbinol;
CAS号 21078-72-8
合成路线:
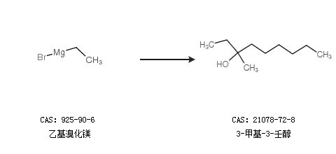
1.通过乙基溴化镁合成3-甲基-3-壬醇

更多路线和参考文献可参考