你好,欢迎来到中华试剂网 购试剂 买耗材! [请登录][注册有惊喜]

货号快速下单 | 签到送积分   | 会员中心 | 客服热线:400-021-2765

3-甲基-1-己炔的合成路线有哪些?

提问时间:2021/4/20 8:14:00
3-甲基-1-己炔有什么方法可以合成?

1条回复:

匿名
2021/4/20 8:14:00
基本信息:
中文名称 3-甲基-1-己炔
英文名称 3-Methyl-1-Hexyne
英文别名 3-Methyl-1-hexyne;3-methylhex-1-yne;
CAS号 40276-93-5

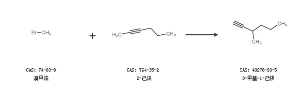
合成路线:
1.通过溴甲烷和2-己炔合成3-甲基-1-己炔


更多路线和参考文献可参考
回复