基本信息:
中文名称 3-氟苯乙胺
中文别名 间氟苯乙胺;间氟苯乙胺;2-(3-氟苯基)乙胺;2-(3-氟苯)-乙胺;1-氨基-2-(3-氟苯基)乙烷;2-(3-氟苯基)氨基乙烷;
英文名称 3-Fluorophenethylamine
英文别名 2-(3-fluorophenyl)ethanamine;2-(3-Fluorophenyl)ethylamine;1-Amino-2-(3-fluorophenyl)ethane;
CAS号 404-70-6
合成路线:
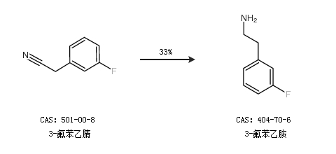
1.通过3-氟苯乙腈合成3-氟苯乙胺,收率约33%;

2.通过3-氟溴苄合成3-氟苯乙胺

更多路线和参考文献可参考