你好,欢迎来到中华试剂网 购试剂 买耗材! [请登录][注册有惊喜]

货号快速下单 | 签到送积分   | 会员中心 | 客服热线:400-021-2765

3-苯基丙酰氯的合成路线有哪些?

提问时间:2021/4/20 8:14:00
3-苯基丙酰氯有什么方法可以合成?

1条回复:

匿名
2021/4/20 8:14:00
基本信息:
中文名称 3-苯基丙酰氯
中文别名 氢肉桂酰氯;β-苯丙酰氯;3-苯丙酰氯;氢化肉桂酰氯;3-苯丙酸酰氯;
英文名称 3-Phenylpropanoyl Chloride
英文别名 3-phenylpropanoyl chloride;
CAS号 645-45-4

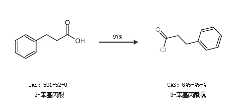
合成路线:
1.通过3-苯基丙酸合成3-苯基丙酰氯,收率约97%;


2.通过草酰氯和3-苯基丙酸合成3-苯基丙酰氯


更多路线和参考文献可参考
回复