你好,欢迎来到中华试剂网 购试剂 买耗材! [请登录][注册有惊喜]

货号快速下单 | 签到送积分   | 会员中心 | 客服热线:400-021-2765

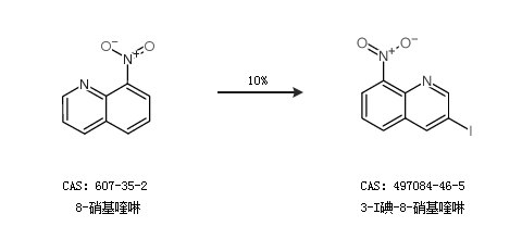
3-I碘-8-硝基喹啉的合成路线有哪些?

提问时间:2021/4/20 8:14:00
3-I碘-8-硝基喹啉有什么方法可以合成?

1条回复:

匿名
2021/4/20 8:14:00
基本信息:
中文名称 3-I碘-8-硝基喹啉
中文别名 3-碘-8-硝基喹啉;
英文名称 3-Iodo-8-nitroquinoline
英文别名 Quinoline,3-iodo-8-nitro;3-IODO-8-NITRO-QUINOLINE;
CAS号 497084-46-5

合成路线:
1.通过8-硝基喹啉合成3-I碘-8-硝基喹啉,收率约10%;


更多路线和参考文献可参考
回复