基本信息:
中文名称 3,3-二甲基环丁烷甲酸
中文别名 3,3-二甲基环戊烷羧酸;
英文名称 3,3-dimethylcyclobutane-1-carboxylic acid
英文别名 3,3-Dimethylcyclobutanecarboxylicacid;3,3-dimethylcyclobutylcarboxylic acid;3,3-Dimethyl-cyclobutan-1-carbonsaeure;Cyclobutanecarboxylic acid,3,3-dimethyl;3,3-Dimethyl-cyclobutancarbonsaeure;
CAS号 34970-18-8
合成路线:
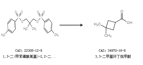
1.通过1,3-二(甲苯磺酰氧基)-2,2-二甲基丙烷合成3,3-二甲基环丁烷甲酸

2.通过2,2-二甲基-1,3-丙二醇合成3,3-二甲基环丁烷甲酸

更多路线和参考文献可参考