基本信息:
中文名称 2-乙酸异山梨醇酯
中文别名 异山梨醇-2-醋酸酯;
英文名称 1,4:3,6-Dianhydro-D-glucitol 2-acetate
英文别名 Isosorbide 5-acetate;1,4:3,6-dianhydro-D-glucitol-2-acetate;1,4:3,6-Dianhydro-2-O-acetyl-D-glucitol;2-O-acetylisosorbide;isosorbide-2-monoacetate;isosorbide 2-O-acetate;2-O-acetyl-1,4:3,6-dianhydro-D-glucitol;2-Acetyl-isosorbide;
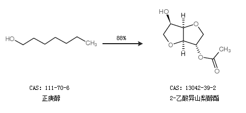
CAS号 13042-39-2
合成路线:
1.通过乙酸和异山梨醇合成2-乙酸异山梨醇酯,收率约59%;

2.通过正庚醇合成2-乙酸异山梨醇酯,收率约88%;

更多路线和参考文献可参考