你好,欢迎来到中华试剂网 购试剂 买耗材! [请登录][注册有惊喜]

货号快速下单 | 签到送积分   | 会员中心 | 客服热线:400-021-2765

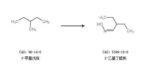
2-乙基丁醛肟的合成路线有哪些?

提问时间:2021/4/20 8:14:00
2-乙基丁醛肟有什么方法可以合成?

1条回复:

匿名
2021/4/20 8:14:00
基本信息:
中文名称 2-乙基丁醛肟
英文名称 (NZ)-N-(2-ethylbutylidene)hydroxylamine
英文别名 2-ethylbutanaldoxime;2-ethylbutylaldoxime;2-ethyl-butyraldehyde oxime;2-ETHYLBUTYRALDHYDE,OXIME;
CAS号 5399-18-8

合成路线:
1.通过2-乙基丁醛合成2-乙基丁醛肟,收率约94%;


2.通过3-甲基戊烷合成2-乙基丁醛肟


更多路线和参考文献可参考
回复