基本信息:
中文名称 2-亚硝基-1-萘酚
中文别名 2-亚硝基-1-萘醇;β-亚硝基-α-萘酚;1-亚硝基-1-萘酚;
英文名称 2-Nitroso-1-naphthol
英文别名 2-nitroso-1-naphtho;2-Nitrosonaphthol;1-Naphthol,2-nitroso;2-Nitroiso-1-Naphthol;2-nitroso-1-hydroxy-naphthalene;1-hydroxy-2-nitrosonaphthalene;C.I.Oxidation Base 15;nitrosonaphthol;
CAS号 132-53-6
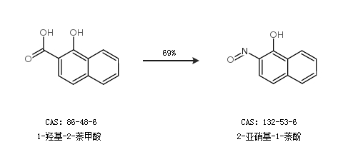
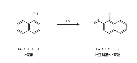
合成路线:
1.通过1-羟基-2-萘甲酸合成2-亚硝基-1-萘酚,收率约69%;

2.通过1-萘酚合成2-亚硝基-1-萘酚,收率约35%;

更多路线和参考文献可参考