你好,欢迎来到中华试剂网 购试剂 买耗材! [请登录][注册有惊喜]

货号快速下单 | 签到送积分   | 会员中心 | 客服热线:400-021-2765

2-溴甲基蒽醌的合成路线有哪些?

提问时间:2021/4/20 8:14:00
2-溴甲基蒽醌有什么方法可以合成?

1条回复:

匿名
2021/4/20 8:14:00
基本信息:
中文名称 2-溴甲基蒽醌
英文名称 2-Bromomethyl-anthraquinone
英文别名 2-(bromomethyl)anthracene-9,10-dione;
CAS号 7598-10-9

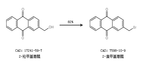
合成路线:
1.通过2-羟甲基蒽醌合成2-溴甲基蒽醌,收率约82%;


2.通过2-甲基蒽醌合成2-溴甲基蒽醌,收率约90%;


更多路线和参考文献可参考
回复