你好,欢迎来到中华试剂网 购试剂 买耗材! [请登录][注册有惊喜]

货号快速下单 | 签到送积分   | 会员中心 | 客服热线:400-021-2765

2-溴蒽醌的合成路线有哪些?

提问时间:2021/4/20 8:14:00
2-溴蒽醌有什么方法可以合成?

1条回复:

匿名
2021/4/20 8:14:00
基本信息:
中文名称 2-溴蒽醌
中文别名 2-溴-9,10-蒽二酮;2-溴代蒽醌;
英文名称 2-Bromoanthraquinone
英文别名 2-bromoanthracene-9,10-dione;
CAS号 572-83-8

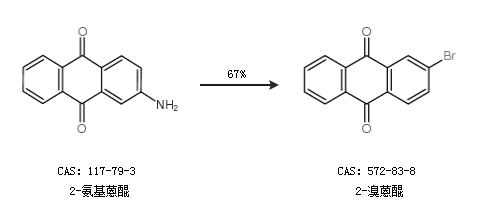
合成路线:
1.通过2-氨基蒽醌合成2-溴蒽醌,收率约86%;


2.通过2-氨基蒽醌合成2-溴蒽醌,收率约67%;


更多路线和参考文献可参考
回复