基本信息:
中文名称 2''-脱氧胞嘧啶核苷
中文别名 2''-脱氧胞苷,盐酸;2''-脱氧胞苷;2''-脱氧胞苷一水合物;2’-脱氧胞苷;2''-脱氧胞苷,一水;2’-脱氧胞嘧啶核苷一水合物;2-脱氧胞嘧啶核苷;
英文名称 2''-deoxycytidine
英文别名 2''-Deoxycytidine monohydrate;2‘-Deoxycytidine;
CAS号 951-77-9
合成路线:
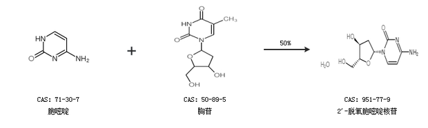
1.通过胞嘧啶和胸苷合成2''-脱氧胞嘧啶核苷,收率约50%;

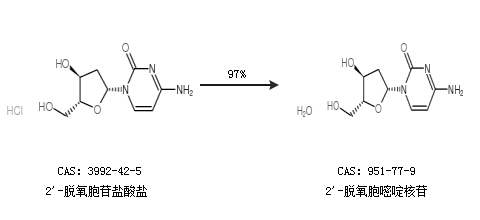
2.通过2''-脱氧胞苷盐酸盐合成2''-脱氧胞嘧啶核苷,收率约97%;

更多路线和参考文献可参考