基本信息:
中文名称 2-十五烷酮
中文别名 2-十五酮;甲基十三烷基甲酮;
英文名称 pentadecan-2-one
英文别名 n-tridecyl methyl ketone;FEMA No. 3724;Methyl tridecyl ketone;Methyl-tridecyl-keton;UNII-B2Q48J997N;Pentadecan-2-one;Pentadecan-2-on;Methyl-n-tridecyl-keton;2-Pentadecanone;
CAS号 2345-28-0
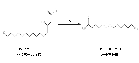
合成路线:
1.通过1-十二烯和丙酮合成2-十五烷酮,收率约82%;

2.通过3-羟基十六烷酸合成2-十五烷酮,收率约80%;

更多路线和参考文献可参考