你好,欢迎来到中华试剂网 购试剂 买耗材! [请登录][注册有惊喜]

货号快速下单 | 签到送积分   | 会员中心 | 客服热线:400-021-2765

2-萘乙腈的合成路线有哪些?

提问时间:2021/4/20 8:13:59
2-萘乙腈有什么方法可以合成?

1条回复:

匿名
2021/4/20 8:13:59
基本信息:
中文名称 2-萘乙腈
中文别名 2-萘基乙腈;
英文名称 2-Naphthylacetonitrile
英文别名 2-naphthalen-2-ylacetonitrile;
CAS号 7498-57-9

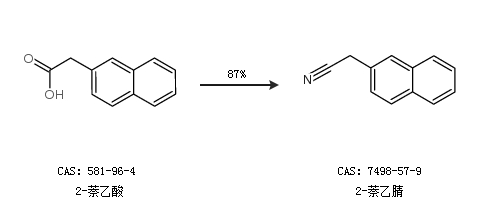
合成路线:
1.通过氰化钠和2-(溴甲基)萘合成2-萘乙腈,收率约96%;


2.通过2-萘乙酸合成2-萘乙腈,收率约87%;


更多路线和参考文献可参考
回复