你好,欢迎来到中华试剂网 购试剂 买耗材! [请登录][注册有惊喜]

货号快速下单 | 签到送积分   | 会员中心 | 客服热线:400-021-2765

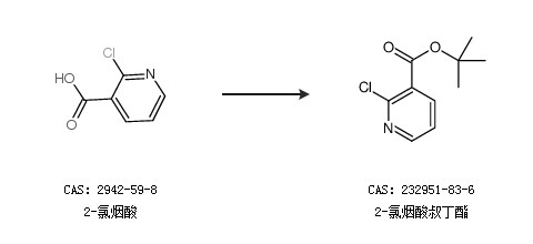
2-氯烟酸叔丁酯的合成路线有哪些?

提问时间:2021/4/20 8:13:59
2-氯烟酸叔丁酯有什么方法可以合成?

1条回复:

匿名
2021/4/20 8:13:59
基本信息:
中文名称 2-氯烟酸叔丁酯
英文名称 tert-butyl 2-chloropyridine-3-carboxylate
英文别名 tert-Butyl 2-chloro-3-pyridinecarboxylate;tert-butyl 2-chloronicotinate;
CAS号 232951-83-6

合成路线:
1.通过2-氯烟酸合成2-氯烟酸叔丁酯,收率约94%;


2.通过2-氯烟酸合成2-氯烟酸叔丁酯


更多路线和参考文献可参考
回复