基本信息:
中文名称 2-氯腺嘌呤核苷
中文别名 2-氯腺苷;
英文名称 2-Chloroadenosine
英文别名 6-Amino-2-Chloropurine Riboside;6-Amino-2-chloropurine Riboside Hydrate;2-CADO Hydrate;6-Amino-2-chloropurine riboside;2-CADO,6-Amino-2-chloropurine riboside;6-Amino-2-chloro-9-(β-D-ribofuranosyl)purine Hydrate;
CAS号 146-77-0
合成路线:
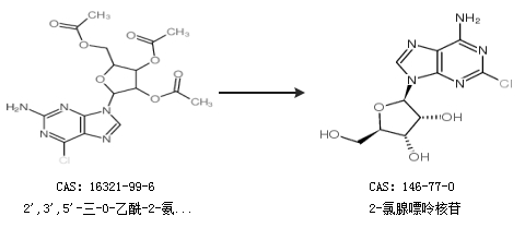
1.通过2'',3'',5''-三-O-乙酰-2-氨基-6-氯嘌呤核苷合成2-氯腺嘌呤核苷

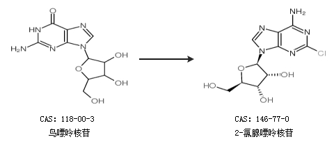
2.通过鸟嘌呤核苷合成2-氯腺嘌呤核苷

更多路线和参考文献可参考