基本信息:
中文名称 2-氯噻唑-4-甲酸
中文别名 2-氯噻唑-4-羧酸;
英文名称 2-Chlorothiazole-4-carboxylic acid
英文别名 Ethyl 2-chlorothiazole-4-carboxylate;2-chloro-1,3-thiazole-4-carboxylic acid;
CAS号 5198-87-8
合成路线:
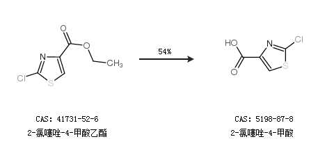
1.通过2-氯噻唑-4-甲酸乙酯合成2-氯噻唑-4-甲酸,收率约54%;

2.通过2-氨基噻唑-4-甲酸合成2-氯噻唑-4-甲酸,收率约56%;

更多路线和参考文献可参考