你好,欢迎来到中华试剂网 购试剂 买耗材! [请登录][注册有惊喜]

货号快速下单 | 签到送积分   | 会员中心 | 客服热线:400-021-2765

2-甲基十五烷的合成路线有哪些?

提问时间:2021/4/20 8:13:59
2-甲基十五烷有什么方法可以合成?

1条回复:

匿名
2021/4/20 8:13:59
基本信息:
中文名称 2-甲基十五烷
英文名称 2-METHYLPENTADECANE
英文别名 i-hexadecane;2-methyl-pentadecane;Pentadecane,2-methyl;Isohexadecane;2-Methyl-pentadecan;
CAS号 1560-93-6

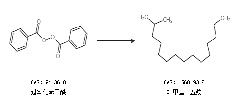
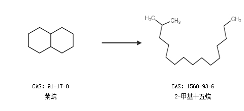
合成路线:
1.通过萘烷合成2-甲基十五烷


2.通过过氧化苯甲酰合成2-甲基十五烷


更多路线和参考文献可参考
回复