你好,欢迎来到中华试剂网 购试剂 买耗材! [请登录][注册有惊喜]

货号快速下单 | 签到送积分   | 会员中心 | 客服热线:400-021-2765

2-甲基十七烷的合成路线有哪些?

提问时间:2021/4/20 8:13:59
2-甲基十七烷有什么方法可以合成?

1条回复:

匿名
2021/4/20 8:13:59
基本信息:
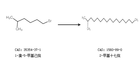
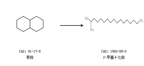
中文名称 2-甲基十七烷
英文名称 2-METHYLHEPTADECANE
英文别名 2-Methylheptadecan;isooctadecane;heptadecane,2-methyl;2-methyl-heptadecane;
CAS号 1560-89-0

合成路线:
1.通过萘烷合成2-甲基十七烷


2.通过1-溴-5-甲基己烷合成2-甲基十七烷


更多路线和参考文献可参考
回复