你好,欢迎来到中华试剂网 购试剂 买耗材! [请登录][注册有惊喜]

货号快速下单 | 签到送积分   | 会员中心 | 客服热线:400-021-2765

2-甲基-3-己醇的合成路线有哪些?

提问时间:2021/4/20 8:13:59
2-甲基-3-己醇有什么方法可以合成?

1条回复:

匿名
2021/4/20 8:13:59
基本信息:
中文名称 2-甲基-3-己醇
中文别名 邻甲基间羟基二苯胺;
英文名称 2-Methyl-3-hexanol
英文别名 2-METHYL-3-HEXANOL;
CAS号 617-29-8

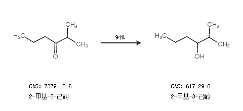
合成路线:
1.通过2-甲基-3-己酮合成2-甲基-3-己醇,收率约94%;


2.通过异丙基氯化镁和丁醛合成2-甲基-3-己醇


更多路线和参考文献可参考
回复