基本信息:
中文名称 2-甲基-2-戊烯酸
中文别名 2-甲基-2-戊酸;草莓酸;
英文名称 2-Methyl-2-pentenoic acid
英文别名 2-methyl-2-pentenoicaci;STRAWBERRIFF;FEMA 3195;3-Ethyl-2-methylacrylicacid;Methylpentenoicacidpract;2-Methyl-pent-2-ensaeure;2-Pentene-2-carboxylicacid;FEMA NUMBER 3195;2-methylpent-2-enoic acid;RARECHEM AL BE 0127;
CAS号 3142-72-1
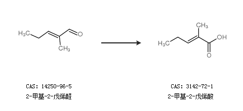
合成路线:
1.通过2-戊烯酸甲酯合成2-甲基-2-戊烯酸,收率约74%;

2.通过2-甲基-2-戊烯醛合成2-甲基-2-戊烯酸

更多路线和参考文献可参考