基本信息:
中文名称 2-甲基-1-壬烯
中文别名 2-甲基壬烯;2-甲基-1-壬酮;
英文名称 2-methylnon-1-ene
英文别名 2-methyl-non-1-ene;2-methylnonene;1-Nonene,2-methyl;2-methyl-1-nonene;methyl-2 nonene-1;2-Methyl-non-1-en;
CAS号 2980-71-4
合成路线:
1.通过2-壬醇和三甲基硅烷化重氮甲烷合成2-甲基-1-壬烯,收率约77%;

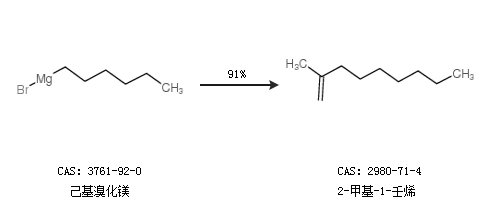
2.通过己基溴化镁合成2-甲基-1-壬烯,收率约91%;

更多路线和参考文献可参考