你好,欢迎来到中华试剂网 购试剂 买耗材! [请登录][注册有惊喜]

货号快速下单 | 签到送积分   | 会员中心 | 客服热线:400-021-2765

2-庚基苯并咪唑的合成路线有哪些?

提问时间:2021/4/20 8:13:59
2-庚基苯并咪唑有什么方法可以合成?

1条回复:

匿名
2021/4/20 8:13:59
基本信息:
中文名称 2-庚基苯并咪唑
英文名称 2-HEPTYLBENZIMIDAZOLE
英文别名 2-heptyl-1H-benzimidazole;
CAS号 5851-49-0

合成路线:
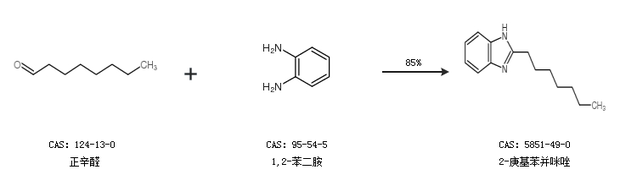
1.通过正辛醛和1,2-苯二胺合成2-庚基苯并咪唑,收率约85%;


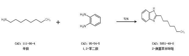
2.通过辛胺和1,2-苯二胺合成2-庚基苯并咪唑,收率约72%;


更多路线和参考文献可参考
回复