你好,欢迎来到中华试剂网 购试剂 买耗材! [请登录][注册有惊喜]

货号快速下单 | 签到送积分   | 会员中心 | 客服热线:400-021-2765

2-对-甲苯基氧烟酸的合成路线有哪些?

提问时间:2021/4/20 8:13:59
2-对-甲苯基氧烟酸有什么方法可以合成?

1条回复:

匿名
2021/4/20 8:13:59
基本信息:
中文名称 2-对-甲苯基氧烟酸
中文别名 2-对-甲苯基吡啶-3-羧酸;
英文名称 2-(4-methylphenoxy)pyridine-3-carboxylic acid
CAS号 54629-15-1

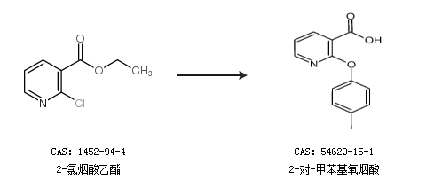
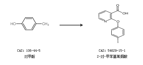
合成路线:
1.通过对甲酚合成2-对-甲苯基氧烟酸


2.通过2-氯烟酸乙酯合成2-对-甲苯基氧烟酸


更多路线和参考文献可参考
回复