你好,欢迎来到中华试剂网 购试剂 买耗材! [请登录][注册有惊喜]

货号快速下单 | 签到送积分   | 会员中心 | 客服热线:400-021-2765

2-苯基丁酰胺的合成路线有哪些?

提问时间:2021/4/20 8:13:59
2-苯基丁酰胺有什么方法可以合成?

1条回复:

匿名
2021/4/20 8:13:59
基本信息:
中文名称 2-苯基丁酰胺
英文名称 2-Phenylbutyramide
英文别名 2-phenylbutanamide;
CAS号 90-26-6

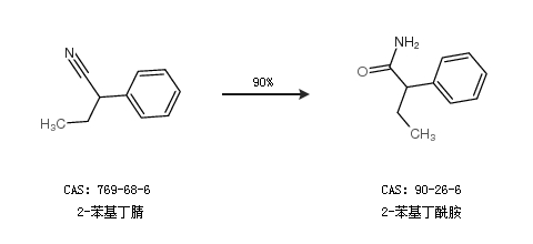
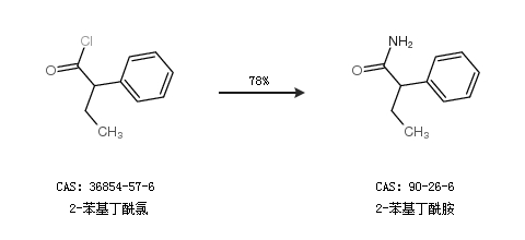
合成路线:
1.通过2-苯基丁腈合成2-苯基丁酰胺,收率约90%;


2.通过2-苯基丁酰氯合成2-苯基丁酰胺,收率约78%;


更多路线和参考文献可参考
回复