你好,欢迎来到中华试剂网 购试剂 买耗材! [请登录][注册有惊喜]

货号快速下单 | 签到送积分   | 会员中心 | 客服热线:400-021-2765

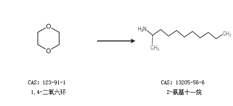
2-氨基十一烷的合成路线有哪些?

提问时间:2021/4/20 8:13:59
2-氨基十一烷有什么方法可以合成?

1条回复:

匿名
2021/4/20 8:13:59
基本信息:
中文名称 2-氨基十一烷
英文名称 undecan-2-amine
英文别名 1-Methyl-decylamin;2-Undecanamine;2-Aminoundecane;2-Undecylamine;1-Methyldecylamine;(+-)-2-Amino-undecan;
CAS号 13205-56-6

合成路线:
1.通过2-十一酮合成2-氨基十一烷


2.通过1,4-二氧六环合成2-氨基十一烷


更多路线和参考文献可参考
回复