你好,欢迎来到中华试剂网 购试剂 买耗材! [请登录][注册有惊喜]

货号快速下单 | 签到送积分   | 会员中心 | 客服热线:400-021-2765

2-氨基-5-溴嘧啶的合成路线有哪些?

提问时间:2021/4/20 8:13:59
2-氨基-5-溴嘧啶有什么方法可以合成?

1条回复:

匿名
2021/4/20 8:13:59
基本信息:
中文名称 2-氨基-5-溴嘧啶
中文别名 2-氨基-5-溴代嘧啶;2-氨基-5溴嘧啶;5-溴嘧啶-2-胺;
英文名称 2-Amino-5-bromopyrimidine
英文别名 5-bromopyrimidin-2-amine;
CAS号 7752-82-1

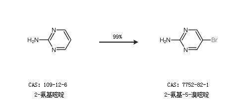
合成路线:
1.通过2-氨基嘧啶合成2-氨基-5-溴嘧啶,收率约99%;


2.通过液氨和5-溴-2-氯嘧啶合成2-氨基-5-溴嘧啶


更多路线和参考文献可参考
回复