基本信息:
中文名称 2-氨基-5-溴-6-苯基嘧啶-4-醇
中文别名 溴匹立明;2-氨基-5-溴-4-羟基-6-苯基嘧啶;溴匹利明;
英文名称 2-Amino-5-bromo-4-hydroxy-6-phenylpyrimidine
英文别名 2-amino-5-bromo-6-phenyl-1H-pyrimidin-4-one;
CAS号 56741-95-8
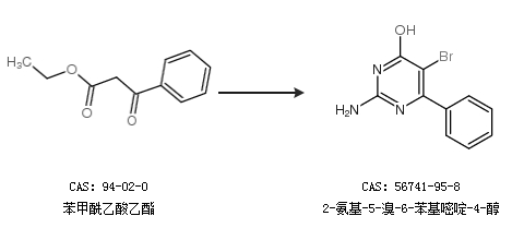
合成路线:
1.通过2-氨基-4-羟基-6-苯基嘧啶合成2-氨基-5-溴-6-苯基嘧啶-4-醇,收率约50%;

2.通过苯甲酰乙酸乙酯合成2-氨基-5-溴-6-苯基嘧啶-4-醇

更多路线和参考文献可参考