基本信息:
中文名称 2-氨基-3-碘萘
英文名称 3-iodonaphthalen-2-amine
英文别名 2-Naphthalenamine,3-iodo;3-iodo-2-aminonaphthalene;3-Jod-2-amino-naphthalin;3-iodo-[2]naphthylamine;2-AMINO-3-IODONAPHTHALENE;3-Jod-[2]naphthylamin;
CAS号 116632-14-5
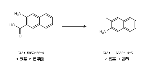
合成路线:
1.通过2-碘-3-硝基萘合成2-氨基-3-碘萘,收率约88%;

2.通过3-氨基-2-萘甲酸合成2-氨基-3-碘萘

更多路线和参考文献可参考