基本信息:
中文名称 2-吖啶胺
中文别名 2-氨基吖啶;
英文名称 acridin-2-amine
英文别名 2-Aminoakridin [Czech];ACRIDINE,2-AMINO;3-Aminoacridine (European);2-Amino-5-aza-anthracen;2-Acridinamine;Acridin-2-ylamin;acridin-2-ylamine;2-Aminoacridine;2-Aminoakridin;
CAS号 581-28-2
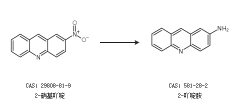
合成路线:
1.通过2-硝基吖啶合成2-吖啶胺

2.通过2-氨基吖啶酮合成2-吖啶胺

更多路线和参考文献可参考