你好,欢迎来到中华试剂网 购试剂 买耗材! [请登录][注册有惊喜]

货号快速下单 | 签到送积分   | 会员中心 | 客服热线:400-021-2765

21-乙酰氧基孕烯醇酮的合成路线有哪些?

提问时间:2021/4/20 8:13:59
21-乙酰氧基孕烯醇酮有什么方法可以合成?

1条回复:

匿名
2021/4/20 8:13:59
基本信息:
中文名称 21-乙酰氧基孕烯醇酮
英文名称 21-Acetoxypregnenolone
英文别名 21-ACETOXYPREGNENOLONE;
CAS号 566-78-9

合成路线:
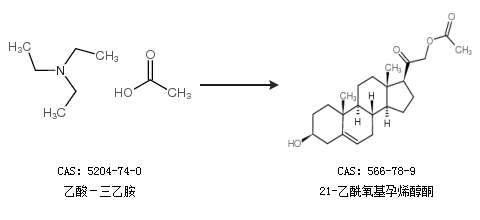
1.通过乙酸–三乙胺合成21-乙酰氧基孕烯醇酮


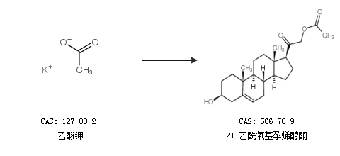
2.通过乙酸钾合成21-乙酰氧基孕烯醇酮


更多路线和参考文献可参考
回复