你好,欢迎来到中华试剂网 购试剂 买耗材! [请登录][注册有惊喜]

货号快速下单 | 签到送积分   | 会员中心 | 客服热线:400-021-2765

2’,3’-二脱氧黄嘌呤核苷的合成路线有哪些?

提问时间:2021/4/20 8:13:59
2’,3’-二脱氧黄嘌呤核苷有什么方法可以合成?

1条回复:

匿名
2021/4/20 8:13:59
基本信息:
中文名称 2’,3’-二脱氧黄嘌呤核苷
中文别名 2,3-二脱氧黄(嘌呤核)苷;
英文名称 9-[(2R,5S)-5-(hydroxymethyl)oxolan-2-yl]-3H-purine-2,6-dione
英文别名 2'',3''-Dideoxyxanthosine;Xanthosine,2'',3''-dideoxy;
CAS号 132194-28-6

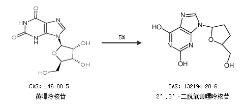
合成路线:
1.通过黄嘌呤核苷合成2’,3’-二脱氧黄嘌呤核苷,收率约5%;


更多路线和参考文献可参考
回复