你好,欢迎来到中华试剂网 购试剂 买耗材! [请登录][注册有惊喜]

货号快速下单 | 签到送积分   | 会员中心 | 客服热线:400-021-2765

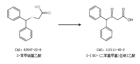
2-[(R)-(二苯基甲基)亚砜]乙酸的合成路线有哪些?

提问时间:2021/4/20 8:13:59
2-[(R)-(二苯基甲基)亚砜]乙酸有什么方法可以合成?

1条回复:

匿名
2021/4/20 8:13:59
基本信息:
中文名称 2-[(R)-(二苯基甲基)亚砜]乙酸
英文名称 2-[(R)-benzhydrylsulfinyl]acetic acid
英文别名 FD7212;ACE038;modafinic acid;
CAS号 112111-45-2

合成路线:
1.通过2-苯甲硫基乙酸合成2-[(R)-(二苯基甲基)亚砜]乙酸


2.通过(S)-(-)- α-甲基苄胺和2-二苯基甲基亚砜基乙酸合成2-[(R)-(二苯基甲基)亚砜]乙酸


更多路线和参考文献可参考
回复