基本信息:
中文名称 2.3.4.5.6-五氯苯甲腈
中文别名 五氯苯甲腈;2,3,4,5,6-五氯苯甲腈;
英文名称 2,3,4,5,6-pentachlorobenzonitrile
英文别名 2,3'',4,4'',5-PENTACB;Pentachlorobenzonitrile;HMS547C17;2,3,4,5-Pentachlor-benzocyanid;Pentachlor-benzonitril;Benzonitrile,pentachloro;pentachloro-benzonitrile;
CAS号 20925-85-3
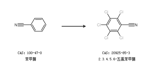
合成路线:
1.通过五氯苯胺和氰化亚铜合成2.3.4.5.6-五氯苯甲腈,收率约48%;

2.通过苯甲腈合成2.3.4.5.6-五氯苯甲腈

更多路线和参考文献可参考