你好,欢迎来到中华试剂网 购试剂 买耗材! [请登录][注册有惊喜]

货号快速下单 | 签到送积分   | 会员中心 | 客服热线:400-021-2765

2,6-二溴蒽醌的合成路线有哪些?

提问时间:2021/4/20 8:13:59
2,6-二溴蒽醌有什么方法可以合成?

1条回复:

匿名
2021/4/20 8:13:59
基本信息:
中文名称 2,6-二溴蒽醌
英文名称 2,6-Dibromoanthraquinone
英文别名 2,6-dibromoanthracene-9,10-dione;
CAS号 633-70-5

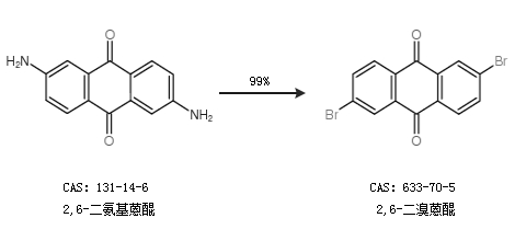
合成路线:
1.通过2,6-二氨基蒽醌合成2,6-二溴蒽醌,收率约99%;


2.通过亚硝酸特丁酯和2,6-二氨基蒽醌合成2,6-二溴蒽醌,收率约99%;


更多路线和参考文献可参考
回复