基本信息:
中文名称 2,6-二氯-5-氟烟酸甲酯
英文名称 methyl 2,6-dichloro-5-fluoropyridine-3-carboxylate
英文别名 METHYL 2,6-DICHLORO-5-FLUORONICOTINATE;methyl 2,6-dichloro-5-fluoro-3-pyridinecarboxylate;2,6-dichloro-5-fluoro-nicotinic acid methyl ester;
CAS号 189281-66-1
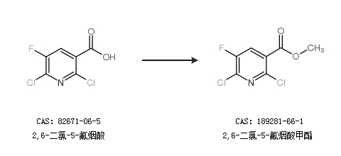
合成路线:
1.通过甲醇和2,6-二氯-5-氟烟酸合成2,6-二氯-5-氟烟酸甲酯

2.通过2,6-二氯-5-氟烟酸合成2,6-二氯-5-氟烟酸甲酯

更多路线和参考文献可参考