基本信息:
中文名称 2,6,8-三甲基-4-壬酮
中文别名 2,6,8-三甲基-4-壬酮;
英文名称 2,6,8-trimethylnonan-4-one
英文别名 EINECS 204-607-3;rac.-2,6,8-Trimethylnonanon-(4);2,6,8-Trimethyl-nonan-4-on;Isobutyl heptyl ketone;2,4,8-trimethyl-4-nonanone;2,6,8-trimethylnonane-4-one;2,4-HEXADIEN-1-OL;2,6,8-Trimethyl-4-nonanone;2,6,8-trimethyl-nonan-4-one;DSSTox_CID_6998;4-NONANONE,2,6,8-TRIMETHYL;
CAS号 123-18-2
合成路线:
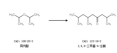
1.通过异丙醚合成2,6,8-三甲基-4-壬酮

2.通过丙酮合成2,6,8-三甲基-4-壬酮

更多路线和参考文献可参考