基本信息:
中文名称 2,5-二硫代联二脲
中文别名 2,5-二硫代脲;双硫脲;1,2-二(氨基硫代甲酰)肼;2,5-二硫二脲;
英文名称 Hydrazodicarbothioamide
英文别名 N,N''-bis-(amidothiocarbonyl)-hydrazine;hydrazodithiocarbamide;DITHIODIUREA;2,5-dithiourea;usafek-p-6281;usafb-44;DITHIOUREA;bithiourea;usafb-55;bisthiourea;2,5-Dithiobiurea;1-thiocarbamoylthiosemicarbazide;2,5-dithiobiurea;DITHIOBIUREA;
CAS号 142-46-1
合成路线:
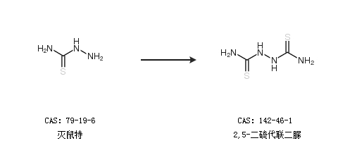
1.通过灭鼠特合成2,5-二硫代联二脲

2.通过硫氰酸钾合成2,5-二硫代联二脲

更多路线和参考文献可参考