基本信息:
中文名称 2,5-二甲基-3-己醇
英文名称 2,5-dimethylhexan-3-ol
英文别名 3-Hexanol,2,5-dimethyl;2,4-DIMETHYL-6-HYDROXYPYRIMIDINE;2,5-dimethyl-hexan-3-ol;2,5-DiMethyl-3-hexanol;2,5-Dimethyl-3-hexanol;Isopropyl-isobutyl-carbinol;
CAS号 19550-07-3
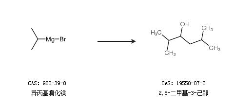
合成路线:
1.通过异丙基溴化镁合成2,5-二甲基-3-己醇

2.通过异戊酸乙酯和异丙基溴化镁合成2,5-二甲基-3-己醇

更多路线和参考文献可参考