你好,欢迎来到中华试剂网 购试剂 买耗材! [请登录][注册有惊喜]

货号快速下单 | 签到送积分   | 会员中心 | 客服热线:400-021-2765

2,4-二硝基苯乙醚的合成路线有哪些?

提问时间:2021/4/20 8:13:59
2,4-二硝基苯乙醚有什么方法可以合成?

1条回复:

匿名
2021/4/20 8:13:59
基本信息:
中文名称 2,4-二硝基苯乙醚
中文别名 2,4-二溴-3-氟硝基苯;2,4-二硝苯基乙基醚;
英文名称 2,4-dinitrophenetole
英文别名 1-ethoxy-2,4-dinitrobenzene;2,4-Dinitrophenetole;
CAS号 610-54-8

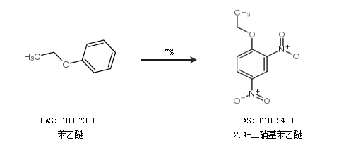
合成路线:
1.通过苯乙醚合成2,4-二硝基苯乙醚,收率约7%;


2.通过硫酸二乙酯和2,4-二硝基酚合成2,4-二硝基苯乙醚,收率约94%;


更多路线和参考文献可参考
回复