基本信息:
中文名称 2,2-二氟-2-苯乙腈
英文名称 2,2-DIFLUORO-2-PHENYLACETONITRILE
英文别名 2,2-difluoro-3-phenylethanenitrile;Difluor-phenyl-acetonitril;2-Phenyl-2,2-difluoroacetonitrile;Benzeneacetonitrile,a,a-difluoro;2,2-difluoro-2-phenylethanenitrile;
CAS号 2002-72-4
合成路线:
1.通过2,2-二氟-2-苯乙酰胺合成2,2-二氟-2-苯乙腈,收率约59%;

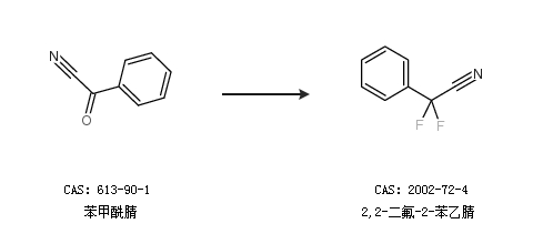
2.通过苯甲酰腈合成2,2-二氟-2-苯乙腈

更多路线和参考文献可参考