基本信息:
中文名称 2-(2-氯嘧啶-4-基)乙胺
中文别名 2-氯-N-乙基嘧啶-4-胺;2-氯-4-(乙基氨基)嘧啶;
英文名称 2-chloro-N-ethylpyrimidin-4-amine
英文别名 4-Pyrimidinamine,2-chloro-N-ethyl;2-chloro-4-ethylaminopyrimidine;
CAS号 86443-51-8
合成路线:
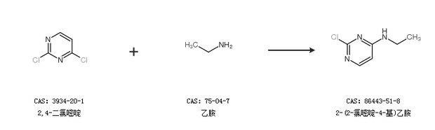
1.通过2,4-二氯嘧啶和乙胺合成2-(2-氯嘧啶-4-基)乙胺

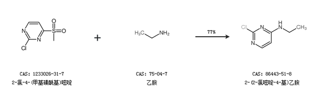
2.通过2-氯-4-(甲基磺酰基)嘧啶和乙胺合成2-(2-氯嘧啶-4-基)乙胺,收率约77%;

更多路线和参考文献可参考