基本信息:
中文名称 1-茚满酮-5-羧酸
中文别名 1-氧代茚满-5-羧酸;1-氧代茚满-5-甲酸;
英文名称 1-oxo-2,3-dihydroindene-5-carboxylic acid
英文别名 1-INDANONE-5-CARBOXYLIC ACID;1-OXO-INDAN-5-CARBOXYLIC ACID;1-oxo-2,3-dihydro-1H-inden-5-carboxylic acid;5-Carboxy-1-indanon;1-oxoindane-5-carboxylic acid;
CAS号 3470-45-9
合成路线:
1.通过5-氰基-1-茚满酮合成1-茚满酮-5-羧酸

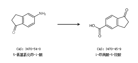
2.通过5-氨基氢化茚-1-酮合成1-茚满酮-5-羧酸

更多路线和参考文献可参考