你好,欢迎来到中华试剂网 购试剂 买耗材! [请登录][注册有惊喜]

货号快速下单 | 签到送积分   | 会员中心 | 客服热线:400-021-2765

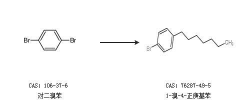
1-溴-4-正庚基苯的合成路线有哪些?

提问时间:2021/4/20 8:13:58
1-溴-4-正庚基苯有什么方法可以合成?

1条回复:

匿名
2021/4/20 8:13:58
基本信息:
中文名称 1-溴-4-正庚基苯
中文别名 4-庚基溴苯;1-溴-4-正庚苯;1-溴-4-庚苯;4-溴正庚基苯;4-正庚基溴苯;
英文名称 1-Bromo-4-heptylbenzene
英文别名 1-bromo-4-heptylbenzene;
CAS号 76287-49-5

合成路线:
1.通过1-溴-4-n-庚酰苯合成1-溴-4-正庚基苯,收率约56%;


2.通过对二溴苯合成1-溴-4-正庚基苯


更多路线和参考文献可参考
回复