你好,欢迎来到中华试剂网 购试剂 买耗材! [请登录][注册有惊喜]

货号快速下单 | 签到送积分   | 会员中心 | 客服热线:400-021-2765

1-溴-4-壬基苯的合成路线有哪些?

提问时间:2021/4/20 8:13:58
1-溴-4-壬基苯有什么方法可以合成?

1条回复:

匿名
2021/4/20 8:13:58
基本信息:
中文名称 1-溴-4-壬基苯
中文别名 1-溴-4-正-壬基苯;1-溴-4-正壬基苯;
英文名称 4-Nonylbromobenzene
英文别名 1-Bromo-4-n-nonylbenzene;1-BroMo-4-nonylbenzene;1-bromo-4-nonylbenzene;
CAS号 51554-94-0

合成路线:
1.通过4-溴壬酰苯合成1-溴-4-壬基苯,收率约40%;


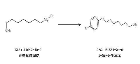
2.通过正辛基镁溴盐合成1-溴-4-壬基苯


更多路线和参考文献可参考
回复