你好,欢迎来到中华试剂网 购试剂 买耗材! [请登录][注册有惊喜]

货号快速下单 | 签到送积分   | 会员中心 | 客服热线:400-021-2765

1-辛烷磺酰氯的合成路线有哪些?

提问时间:2021/4/20 8:13:58
1-辛烷磺酰氯有什么方法可以合成?

1条回复:

匿名
2021/4/20 8:13:58
基本信息:
中文名称 1-辛烷磺酰氯
中文别名 1-辛基磺酰氯;辛基磺酰氯;正辛烷磺酰氯;
英文名称 1-OCTANESULFONYL CHLORIDE
英文别名 octane-1-sulfonyl chloride;
CAS号 7795-95-1

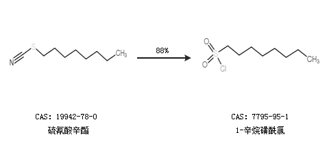
合成路线:
1.通过1-辛硫醇合成1-辛烷磺酰氯,收率约97%;


2.通过硫氰酸辛酯合成1-辛烷磺酰氯,收率约88%;


更多路线和参考文献可参考
回复