你好,欢迎来到中华试剂网 购试剂 买耗材! [请登录][注册有惊喜]

货号快速下单 | 签到送积分   | 会员中心 | 客服热线:400-021-2765

1-戊烯硼酸的合成路线有哪些?

提问时间:2021/4/20 8:13:58
1-戊烯硼酸有什么方法可以合成?

1条回复:

匿名
2021/4/20 8:13:58
基本信息:
中文名称 1-戊烯硼酸
英文名称 E-Penten-1-ylboronic acid
英文别名 1-PENTENYLBORONIC ACID;
CAS号 59239-44-0

合成路线:
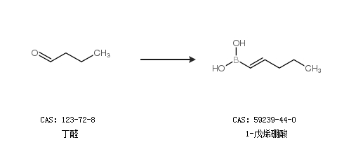
1.通过丁醛合成1-戊烯硼酸


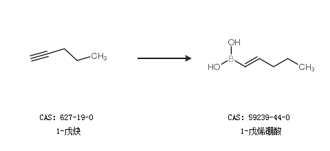
2.通过1-戊炔合成1-戊烯硼酸


更多路线和参考文献可参考
回复