基本信息:
中文名称 1-萘酚磷酸酯
英文名称 1,2,3,10b-tetrahydrofluoranthen-3-ol
英文别名 Phosphorsaeure-tri-[1]naphthylester;1-naphthalenol,phosphate (3:1);tri-1-naphthyl phosphate;phosphoric acid tri-[1]naphthyl ester;Tri-(naphthyl-(1))-phosphat;
CAS号 4004-51-7
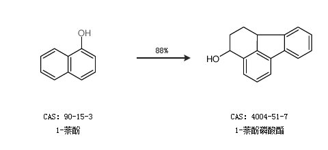
合成路线:
1.通过1-萘酚合成1-萘酚磷酸酯,收率约88%;

2.通过1-羟基-2-萘甲酸合成1-萘酚磷酸酯

更多路线和参考文献可参考