你好,欢迎来到中华试剂网 购试剂 买耗材! [请登录][注册有惊喜]

货号快速下单 | 签到送积分   | 会员中心 | 客服热线:400-021-2765

1-萘胺-5-磺酸的合成路线有哪些?

提问时间:2021/4/20 8:13:58
1-萘胺-5-磺酸有什么方法可以合成?

1条回复:

匿名
2021/4/20 8:13:58
基本信息:
中文名称 1-萘胺-5-磺酸
中文别名 5-氨基-1-萘磺酸;5-氨基-1-萘磺酸;1,5-萘胺磺酸;5-氨基萘-1-磺酸;劳伦酸;劳伦酸;
英文名称 5-Aminonaphthalene-1-sulfonic acid
英文别名 5-aminonaphthalene-1-sulfonic acid;
CAS号 84-89-9

合成路线:
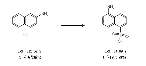
1.通过2-萘胺盐酸盐合成1-萘胺-5-磺酸


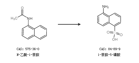
2.通过N-乙酰-1-萘胺合成1-萘胺-5-磺酸


更多路线和参考文献可参考
回复